Introduction
Ecosystem in water is the silent current and the very Invisible chain of life. The ecosystem in water isn’t just a passive backdrop—it’s the cradle of civilization and the pulse of the planet’s survival.
Far beyond what meets the eye, aquatic ecosystems operate like living supercomputers—processing carbon, purifying life, balancing climates, and shaping destinies. And yet, we are on the verge of unravelling them.

What Is an Aquatic Ecosystem?
At first glance, a river, ocean, or wetland might seem like a passive landscape—but beneath the surface lies a vibrant, self-regulating universe.
Aquatic ecosystems are living communities where organisms—plants, animals, and microbes—interact with one another and with their watery environment in astonishingly complex ways.
These include:
- Freshwater ecosystems: rivers, lakes, ponds, wetlands
- Marine ecosystems: oceans, coral reefs, estuaries, mangroves
We have two types of water ecosystems in earth, saltwater and freshwater ecosystems.
You will be amazed learning about that each type is a finely balanced engine of biodiversity, evolved over millions of years. What is truly remarkable is that they sustain themselves—regulating nutrients, supporting food chains, and adapting to change—without external input.
If we disrupt one piece, the chain reaction can reverberate globally.
Aquatic ecosystems are not just nature’s wonder—they are Earth’s operating system. Preserving them is not optional. It is essential to every breath we take and every drop we drink.
Check this quick Fact: Aquatic ecosystems cover more than 70% of Earth’s surface yet remain the least explored. [NOAA]

The Subtle Power of Water-Based Biodiversity
Beneath the surface of every river, lake, and ocean lies a symphony of life—a world brimming with organisms that quietly sustain the balance of our planet.
This invisible tapestry of biodiversity is far more powerful than it appears in orchestrating ecological functions that are essential to human survival.

- Carbon cycling: Oceans absorb approximately 25–31% of human CO₂ emissions, acting as a vital buffer against climate chaos.
While rising CO₂ has marginally weakened this absorbing sink (by around 13% in recent decades), the ocean remains our most critical carbon regulator. [World Economic Forum] - Oxygen production: Marine phytoplankton capture carbon in ocean and atmosphere and contribute roughly 45–50% of the world’s oxygen. These microscopic organisms—especially diatoms and cyanobacteria like Prochlorococcus—are estimated to generate nearly half of Earth’s breathable O₂, rivaling terrestrial plants in scale [Sicence.org]
- Flood mitigation: Coastal ecosystems—mangroves, estuaries, wetlands—act as natural bulwarks, absorbing storm surges and buffering shorelines from wave energy and erosion.
- Food security: More than 3 billion people rely on fish for daily protein intake, especially in vulnerable coastal communities [FAO report, 2022]
- Climate regulation: Ocean currents, like the Gulf Stream, regulate global temperatures and drive rainfall patterns across continents.
From the microscopic copepod to the breaching whale, every organism is a vital stitch in this living fabric. Destabilizing even one thread risks unraveling the intricate ecological weave—and with it, the safety nets modern societies rely on.
Did You Know?
Seagrass meadows can capture and sequester carbon up to 35 times faster than tropical rainforests.
Despite covering only about 0.2% of the ocean floor, they account for 10–18% of the world’s oceanic carbon burial, making them among the most potent nature-based carbon sinks on Earth according to WWF
Why this matter you ask?
Because these underwater meadows store carbon deep within ocean sediments where it can remain locked away for centuries or even millennia, a process far more enduring than what occurs in terrestrial forests.

Carbon Capture and Sequestration in Ocean : How Can We Bury 100% of World’s Oceanic Carbon – Seagrass Story
This is amazing that 0.2% of Seagrass meadows can capture and sequester 10–18% of the world’s oceanic Co2, what if we can bury all the oceanic Co2
We can calculate this using simple proportion
- Seagrass meadows cover ~0.2% of the ocean floor
- They account for ~10–18% of oceanic carbon burial
We can set this up as a proportion:
- If 0.2% → 10–18% of total oceanic carbon burial
- Then X% → 100% of total oceanic carbon burial
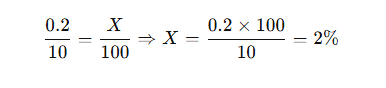
At 10% efficiency:

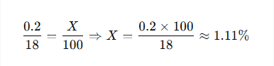
At 18% efficiency:

For the carbon capture and sequestration of 100% of the world’s oceanic carbon, seagrass meadows would need to cover approximately 1.1% to 2% of the ocean floor, depending on their carbon burial efficiency.
This shows just how astonishingly effective these ecosystems are at sequestering carbon—and why even small restoration efforts can yield outsized climate benefits.
A Hidden Crisis: The Silent Collapse
Despite their power, aquatic ecosystems are under siege. Often invisible, their unraveling is far more insidious:
- Plastic pollution: An estimated 11 million metric tons of plastic enter oceans yearly around the globe, suffocating wildlife and disrupting wildlife habitats. [UNEP]
- Eutrophication: Fertilizer runoff fuels algal blooms that suffocate marine life. Theses excessive fertilizer runoff—laden with nitrogen and phosphorus—triggers massive algal blooms that suffocate aquatic life by creating dead zones devoid of oxygen [US EPA]
- Overfishing: Nearly 90% of marine fish stocks are now fully exploited, overexploited, or collapsed, threatening biodiversity and livelihoods worldwide. [FAO REPORT, 2022]
- Ocean acidification: Excess CO₂ lowers pH levels, dissolving shells and coral skeletons.
- Coral bleaching: Rising sea temperatures cause corals to expel their life-giving algae.
These are not isolated issues. They are symptoms of a larger systemic imbalance. Coral reefs, which support 25% of marine species, are disappearing at an alarming rate.

Emotional Reality Check: Coral isn’t just pretty. It’s a nursery for thousands of marine species. Its collapse is a biological chain reaction.
According to the IPBES 2019 report more than one million species globally are at risk of extinction—many of them are aquatic.
The Human Thread: We Are Not Separate
The ecosystem in water is not a separate realm. Humanity is deeply woven into its fabric:
- Cultural significance: The Ganges in India, the Amazon in South America, and the Nile in Africa are sacred rivers with millennia of cultural legacy.
- Economic dependence: Fisheries and aquaculture provide livelihoods for over 60 million people.
- Health implications: Water quality affects disease prevalence, nutrition, and sanitation.
- Spiritual ties: Many indigenous communities view water bodies as ancestors or spirits.

In many regions, especially island nations and deltas, the line between human and aquatic ecosystems is blurred. The health of one defines the fate of the other.
Innovative Restoration: Hope from the Depths
Amidst the crisis, a wave of innovation and resilience is offering hope. Here are cutting-edge efforts around the world:
- Seagrass Restoration
In the UK and Australia, volunteers and researchers are reseeding seagrass beds to capture carbon and revive fish nurseries. - Oyster Reef Rebuilding
Projects in the U.S. (like the Billion Oyster Project ) are restoring oyster reefs, which filter water and buffer storm surges. - Artificial Reefs
Using eco-friendly concrete and sunken ships to create new habitats for marine life. - Bioremediation
Deploying microbes and engineered bacteria to clean up oil spills and toxic waste. - AI-Powered Ocean Mapping
Tools like DeepSea AI are mapping uncharted regions and monitoring illegal fishing in real time.

These aren’t experimental concepts—they’re real-world applications making measurable impact.
Ripple Effects: The Global Implications of Inaction
If water ecosystems collapse, the consequences cascade across sectors:
- Climate extremes: Without oceanic carbon sinks, temperatures would rise faster.
- Food insecurity: Diminishing fish stocks threaten the diets of billions.
- Economic shocks: Tourism, fisheries, and transportation industries face collapse.
- Public health risks: Polluted waters breed disease, from cholera to heavy metal poisoning.
Inaction is not a neutral choice. It is complicity in an ecological unravelling that endangers all life.
What One Person Can Do to Protect Ecosystem in Water: Small Acts, Big Ripples
You don’t need to be a marine biologist or policymaker to make a difference. Even one person can spark powerful ripples of change that help protect our planet’s most fragile ecosystems.
Here’s how you can make a meaningful impact—starting today:
- Refuse single-use plastics: Plastic bottles, bags, and straws are among the top polluters in oceans. Choose reusable options as much as possible.
- Eat sustainable seafood: Use apps like Seafood Watch to get recommendation and “Beat the Microbead“ which informs you about micro plastics in your cosmetics and personal care products and guides to make eco-friendly decisions to choose fish from responsible fisheries. Look for MSC- or ASC-certified labels.
- Avoid chemical fertilizers: Switch to organic or compost-based gardening methods to reduce nutrient runoff.
- Support marine conservation groups: Support organizations like Oceana in USA, Reef Watch Marine Conservation Kundapura in India.

Even a small donation or a social media share can amplify their reach.
- Reduce carbon footprint: Ride a bicycle, use public transport, cut back on meat—lowering CO₂ helps fight ocean acidification and coral bleaching.
- Raise awareness: Talk about water ecosystems in your circles. Education is the most underrated form of activism.
This battle isn’t limited to scientists or policymakers. Every individual action counts:
Unique Lens: Rethinking Water as a Living Entity
Here’s a powerful shift in perspective: Water is not a resource. It is a living, breathing entity. In Maori culture, for example, the Whanganui River has legal personhood—recognizing its rights to thrive and be protected.
What if global law, urban planning, and corporate policy respected water as a living system rather than an extractive commodity?
The benefits would be profound:
- Eco-centric economies focused on regeneration
- Long-term sustainability over short-term profit
- Cultural revival through indigenous knowledge systems
Conclusion: The Soul of the Planet Lies in Water
The ecosystem in water isn’t an abstract idea—it’s the lifeblood of Earth and the foundation of humanity’s survival. In its depths lie mysteries we have yet to unlock and warnings we can no longer ignore.
This isn’t just about saving fish or coral. It’s about preserving a delicate equilibrium that makes life possible.
The path forward demands curiosity, courage, and collective will. Let the tide of restoration begin—and may it carry us toward a more reverent, resilient future.
Further Reading & References
- Intergovernmental Science-Policy Platform on Biodiversity and Ecosystem Services (IPBES), 2019
- National Geographic, “Oceans: The Hidden Frontier,” 2024
- United Nations Ocean Decade: https://www.oceandecade.org
- Smithsonian Ocean Portal: https://ocean.si.edu
- Food and Agriculture Organization (FAO), 2022 Report on Global Fish Stocks
- Beat the Microbead Campaign: https://www.beatthemicrobead.org
- DeepSea AI Monitoring Tools: Various news releases
- SeaGrassWatch: https://www.seagrasswatch.org
